Rayleighlänge 

Rayleighlänge – Definition & Bedeutung 

Die Rayleighlänge ist ein zentraler Parameter der Laseroptik. Sie beschreibt, wie weit ein Laserstrahl in Richtung der Strahlausbreitung fokussiert bleibt, bevor er sich merklich aufweitet. Damit bestimmt die Rayleighlänge maßgeblich die Tiefenschärfe und die Fokusstabilität eines Lasers. Für die industrielle Lasermaterialbearbeitung – sei es beim Laserschneiden, Laserschweißen, Laserstrukturieren oder in der additiven Fertigung – entscheidet sie über Prozessqualität, Präzision und Effizienz.

Physikalische Grundlagen der Rayleighlänge

Die Rayleighlänge ist der Abstand von der Strahltaille – also dem Punkt, an dem der Laserstrahl seinen kleinsten Durchmesser erreicht – bis zu der Stelle, an der sich die Strahlfläche verdoppelt hat.

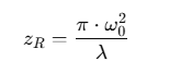
Für einen idealen Gaußstrahl (M² = 1) gilt: 

In realen industriellen Anwendungen weicht der Strahl jedoch meist vom perfekten Gaußprofil ab. Diese Abweichung wird durch den Strahlgütefaktor M2 beschrieben. Damit ergibt sich die verallgemeinerte Formel:

  • ω0: Radius des Strahls im Fokus (Strahltaille)
  • λ: Wellenlänge des Laserlichts
  • M2: Strahlgütefaktor, der angibt, wie stark der reale Strahl vom idealen Gaußstrahl abweicht (M² = 1 = perfekter Gaußstrahl)

Praktisch heißt das: Je besser die Strahlqualität (niedriges M²), desto länger ist die Rayleighlänge und desto stabiler bleibt der Fokus. Bei einem Strahl mit schlechterer Strahlgüte verkürzt sich die Rayleighlänge entsprechend.

Zusammenhang zwischen Rayleighlänge und Fokusqualität

Die Rayleighlänge ist ein entscheidender Parameter für die Fokusqualität eines Laserstrahls und beschreibt, wie lange der Strahl im Raum nahezu beugungsbegrenzt bleibt, bevor die Divergenz zunimmt. Sie legt somit fest, über welche Distanz entlang der optischen Achse der Fokus mit nahezu konstanter Intensität und Strahlgeometrie erhalten bleibt – ein Maß für die Tiefenschärfe des Lasers.

In der Praxis beeinflusst die Rayleighlänge unmittelbar die Stabilität des Energieeintrags in das Material. Bei Prozessen, in denen die Fokuslage leicht schwankt – etwa durch thermische Ausdehnung, Materialunebenheiten oder Scannerbewegungen – sorgt eine längere Rayleighlänge für ein robusteres und gleichmäßigeres Bearbeitungsergebnis. Umgekehrt ermöglicht eine kurze Rayleighlänge eine extrem scharfe Fokussierung und damit eine sehr hohe Leistungsdichte auf der Oberfläche – entscheidend für präzise, oberflächennahe Anwendungen.

Damit fungiert die Rayleighlänge als zentrales Bindeglied zwischen optischer Systemauslegung und prozessspezifischer Leistungsanforderung: Sie definiert, wie fokussiert der Strahl über eine gegebene Tiefe bleibt – und damit letztlich, ob ein Laserprozess auf maximale Auflösung oder auf maximale Stabilität optimiert ist.

Die richtige Balance hängt stark von der Anwendung ab. Daher werden die Fokusparameter gezielt optimiert, um zwischen Prozessstabilität und Detailgenauigkeit abzuwägen.

Bedeutung für die industrielle Laserbearbeitung

Die Wahl der passenden Rayleighlänge beeinflusst direkt die Bearbeitungsqualität:

  • Beim Laserschneiden sorgt eine lange Rayleighlänge für saubere Schnittkanten auch bei größeren Materialstärken.
  • Beim Laserschweißen wird durch eine längere Fokusstabilität ein gleichmäßiges Schmelzbad ermöglicht.
  • In der Lasergravur und bei der Mikrobearbeitung bieten kurze Rayleighlängen höchste Oberflächenauflösung.
  • In der additiven Fertigung hängt die Prozessstabilität stark von einer gleichmäßigen Energieverteilung innerhalb des Pulverbettlayers ab – hier spielt die Rayleighlänge eine Schlüsselrolle.

Rayleighlänge und Strahlführungssysteme

Die Rayleighlänge ist nicht allein eine Eigenschaft des Lasers, sondern wird wesentlich durch die eingesetzten Strahlführungssysteme und Optiken bestimmt. Neben Wellenlänge, Fokusgröße und Strahlgüte (M²) beeinflussen auch der Strahldurchmesser im Eintritt der Optik sowie die freie Apertur des Systems die erreichbare Rayleighlänge.

  • Strahldurchmesser am Scanner-Eintritt: Je größer der einfallende Strahldurchmesser, desto stärker kann die Optik den Strahl fokussieren. Ein größerer Durchmesser ermöglicht also einen kleineren Fokus und damit eine kürzere Rayleighlänge – was für hochpräzise Anwendungen wie Mikrobearbeitung vorteilhaft ist.
  • Freie Apertur der Optik: Die Apertur einer F-Theta-Linse oder eines Scannerobjektivs begrenzt, wie viel vom Laserstrahl tatsächlich genutzt wird. Ist die freie Apertur zu klein im Verhältnis zum Strahldurchmesser, werden Randbereiche abgeschnitten („Clipping“), was die Strahlqualität verschlechtert und die effektive Rayleighlänge verkürzt.
  • Scanner- und Optikdesign: Hochwertige Strahlablenkeinheiten und angepasste F-Theta-Linsen sorgen dafür, dass Fokusdurchmesser, Strahlgüte und Apertur optimal aufeinander abgestimmt sind. Dadurch bleibt die Rayleighlänge über das gesamte Bearbeitungsfeld konsistent.

RAYLASE integriert hierzu maßgeschneiderte Optiklösungen in Kombination mit präzisen Strahlablenkeinheiten. Durch die Abstimmung von Strahldurchmesser, freier Apertur und Scannerdesign stellen wir sicher, dass die Rayleighlänge exakt den Prozessanforderungen entspricht – ob bei Hochgeschwindigkeitsprozessen, feinstrukturierten Gravuren oder tiefen Schweißnähten.

Optimierung und Kontrolle der Rayleighlänge 

In der industriellen Praxis reicht es nicht aus, die Rayleighlänge nur theoretisch zu kennen. Sie muss auch gemessen und gezielt optimiert werden, um eine konstante Fokusqualität und reproduzierbare Prozessbedingungen sicherzustellen.

Die experimentelle Bestimmung der Rayleighlänge erfolgt in der Regel über Strahlprofilmessungen entlang der optischen Achse. Dabei wird der Strahldurchmesser an verschiedenen z-Positionen erfasst und die Position bestimmt, an der sich die Fläche verdoppelt hat.
Hierzu kommen verschiedene Verfahren zum Einsatz:

  • CCD- oder CMOS-basierte Strahlprofiler für die hochauflösende Erfassung von Intensitätsverteilungen,
  • Knife-Edge-Messungen (Kantendetektionsverfahren) für präzise Fokusverläufe,
  • Konfokale und interferometrische Verfahren für hochgenaue Fokustiefenanalysen bei Mikrobearbeitungsprozessen.

Die ermittelten Daten ermöglichen nicht nur die Validierung der theoretischen Berechnungen, sondern auch die Überwachung der Strahlstabilität im laufenden Betrieb.

RAYLASE unterstützt Unternehmen dabei, die optimalen Scanner- und Optikkombinationen zu finden. Unsere Experten bringen fundiertes Wissen ein, um Strahldurchmesser und Rayleighlänge exakt an die Prozessanforderungen abzustimmen – von Hochleistungsanwendungen bis zu feinsten Strukturierungen.

Praxisbeispiele: Rayleighlänge im Einsatz 

Die Bedeutung der Rayleighlänge zeigt sich besonders deutlich in industriellen Anwendungen, bei denen Fokusqualität und Prozessstabilität unmittelbar über den Erfolg entscheiden.

  • Additive Fertigung (Pulverbettverfahren):
    In Verfahren wie dem Laser Powder Bed Fusion (LPBF) ist eine stabile Rayleighlänge entscheidend. Sie stellt sicher, dass der Laserstrahl auch bei minimalen Höhenabweichungen im Pulverbett seine Energie gleichmäßig einbringt. Das verhindert Porenbildung und sorgt für dichte, reproduzierbare Bauteile. In der Praxis wird oft ein Kompromiss gewählt: ein kleiner Fokus für feine Strukturen, aber mit ausreichender Rayleighlänge, um Prozessschwankungen auszugleichen.
  • Elektronikfertigung:
    Beim Strukturieren von Leiterbahnen oder bei der Bearbeitung dünner Schichten (z. B. in Displays oder Halbleiterprozessen) ermöglicht eine kurze Rayleighlänge höchste Präzision im Mikrometerbereich. Da die Bearbeitung meist nur wenige Mikrometer tief in das Material reicht, ist ein scharfer Fokus wichtiger als Tiefenschärfe. Hier spielen Scanner mit kleiner freier Apertur und optimierter Strahldurchführung ihre Stärken aus.
  • Medizintechnik:
    Bei der Bearbeitung von Implantaten oder chirurgischen Werkzeugen ist eine längere Rayleighlänge vorteilhaft, da sie gleichmäßige Energieeinbringung auch bei leicht gewölbten oder gekrümmten Oberflächen ermöglicht. So entstehen glatte Schnittflächen mit minimalem thermischem Einfluss auf das umliegende Gewebe oder Material.
  • Laserschneiden von Metallen:
    Bei dicken Blechen führt eine längere Rayleighlänge zu stabilen Schnittergebnissen über die gesamte Materialtiefe hinweg. Der Strahl bleibt lange genug fokussiert, um das Schmelzbad kontinuierlich zu durchdringen. Zu kurze Rayleighlängen würden hier zu instabilen Schnittkanten oder erhöhter Nacharbeit führen.
  • Laserschweißen:
    Beim Tiefschweißen ist eine verlängerte Rayleighlänge ein Vorteil, da sie das Schmelzbad über die gesamte Schweißtiefe hinweg gleichmäßig aufrechterhält. Dies reduziert Porenbildung und verbessert die Festigkeit der Naht.
  • Mikrobearbeitung & Strukturierung:
    Anwendungen wie die Herstellung von Mikrobohrungen, feinen Schlitzen oder die Laserstrukturierung von Oberflächen benötigen eine extrem kurze Rayleighlänge. Sie sorgt dafür, dass der Laserstrahl nur in einem sehr engen Bereich mit maximaler Intensität wirkt, was präzise Materialabträge bei minimalem Wärmeeinfluss erlaubt.

Diese Beispiele verdeutlichen: Die richtige Rayleighlänge ist kein theoretischer Wert, sondern ein entscheidender Stellhebel für Prozessqualität, Effizienz und Zuverlässigkeit in ganz unterschiedlichen Industrien.

RAYLASE: Ihr zuverlässiger Laser-Partner

Die Rayleighlänge ist kein theoretischer Wert, sondern ein praktisches Werkzeug, das über den Erfolg eines Laserprozesses entscheidet. RAYLASE versteht die Zusammenhänge zwischen Optik, Scanner und Anwendung – und setzt dieses Wissen ein, um stabile, effiziente und hochpräzise Prozesse zu ermöglichen.

Ob für das Schneiden dicker Bleche, die hochauflösende Mikrobearbeitung oder die additive Fertigung – wir entwickeln Lösungen, die Ihre Produktivität steigern und gleichzeitig die Prozessqualität sichern.

Harnesh Singh

Sie haben Fragen?

Ihr Ansprechpartner ist gerne für Sie da

Harnesh Singh

Director Sales & Marketing

jetzt kontakt aufnehmen

FAQs zum Rayleighlänge 

Wie wird die Rayleighlänge berechnet?

Die Rayleighlänge ergibt sich aus Fokusradius und Wellenlänge nach der Formel 

Wovon hängt die Rayleighlänge ab?

Sie hängt primär von der Fokusgröße, der Wellenlänge, der Strahlqualität und der freien Apertur im Scansystem ab.

Welche Vorteile hat eine lange Rayleighlänge?

Eine lange Rayleighlänge sorgt für stabile Prozesse in tieferen Schichten oder bei unebenen Oberflächen.

Welche Rolle spielt die Rayleighlänge in der additiven Fertigung?

In der additiven Fertigung gewährleistet die richtige Rayleighlänge eine gleichmäßige Energieverteilung im Pulverbett und verbessert damit die Bauteilqualität.